This story appears in Starts with a Bang, our special column on astrophysics.
The idea of the Big Bang has captivated the imagination of humanity since it was first proposed. If the Universe is expanding today, then we can extrapolate back, earlier and earlier, to when it was smaller, younger, denser, and hotter. You could go back as far as you can imagine: before humans, before the stars, before there were even neutral atoms. At the earliest times of all, you’d make all the particles and antiparticles possible, including the fundamental ones that we cannot create at our low energies today.
As time went forward, the Universe would cool, expand, and gravitate all together. First atomic nuclei would form from protons and neutrons, then neutral atoms would form, and then gravitation would lead to stars, galaxies, and the grand structures of the cosmic web. These leftover relics — the light elements formed in the Big Bang, the relic photons from the primordial plasma, and the large-scale structure of the Universe — would, along with the cosmic expansion of the Universe, form the four cornerstones of the Big Bang.
But from an even earlier epoch, a fifth cornerstone should exist as well. There would be an early signal left over from when the Universe was just one second old: a bath of neutrinos and antineutrinos. Known as the cosmic neutrino background (CNB), it was theorized generations ago but was dismissed as undetectable. But no longer. Two very clever teams of scientists found a way to detect it. The data is in, and the results are incontrovertible: the cosmic neutrino background is real, and agrees with the Big Bang. Here’s how the Big Bang’s last great prediction was confirmed.

Neutrinos are some of the most surprising and elusive particles in the Universe. They were predicted in 1930 to explain radioactive decays, as otherwise, energy and momentum would not be conserved. Some radioactive atoms undergo beta decay, where a neutron within that nucleus converts to a proton and an electron. However, energy is always lost and momentum is always created if you only include the protons and electrons; Wolfgang Pauli theorized that some other particle must also be emitted. Naming them the neutrino — meaning “tiny, neutral one” — they must carry energy and momentum, but cannot have charge and must be incredibly low in mass. It wasn’t until we developed nuclear reactors that we were able to first detect the presence of neutrinos and antineutrinos, a feat that wasn’t accomplished until 1956.
But neutrinos are real, and they’re fundamental particles, just like electrons or quarks are. They come in three generations: electron neutrino, muon neutrino, and tau neutrino, just like all of the other Standard Model fermions. They interact only through the weak and gravitational forces, so they neither absorb or emit light. But at high energies, like those achieved in the earliest stages of the hot Big Bang, the weak interactions were much stronger. Under those conditions, the early Universe spontaneously created enormous amounts of both neutrinos and their antimatter counterparts, antineutrinos.

Whenever particles smash together, they can spontaneously create new particle/antiparticle pairs, so long as there’s enough energy present. When we rewind the clock on the Universe to extremely early times, we have enough energy to create all the particles and antiparticles we know of: all the quarks, leptons, and bosons that can exist. When the Universe cools, particles and antiparticles annihilate away, unstable particles decay, and enough energy ceased to exist to create new particles.
In the earliest stages, all the particles and antiparticles of the Standard Model exist, but then the heaviest ones annihilate and decay away. By the time it’s 1 second after the start of the hot Big Bang, only electrons and positrons are still spontaneously created from energetic collisions; neutrinos and antineutrinos cease participating in interactions at about this time.
A little bit later, the excess electrons and positrons annihilate away, leaving us with a small, leftover amount of protons, neutrons, and electrons, along with large numbers of neutrinos and antineutrinos and even larger numbers of photons. Because electron-positron annihilations create photons, the photons should be a little more energetic than the neutrinos and antineutrinos: the average neutrinos should have precisely (4/11)⅓ the energy of the average photon: about 71.4% of the energy of the photons in cosmic microwave background. The neutrinos and antineutrinos, which stop interacting with the primordial plasma when the Universe is just one second old, should remain until the present day.

As the Universe evolves from its initially hot, dense state, all sorts of fascinating things happen. The electroweak symmetry breaks, giving particles a rest mass. The heaviest particles annihilate and decay away, including top, bottom, and charm quarks, as well as tau leptons and the W-and-Z bosons. Next, quarks combine to form protons and neutrons, and the excess antiprotons and antineutrons annihilate away. After neutrinos freeze out, electrons and positrons annihilate, heating up the photons further.
The remaining protons and neutrons then fuse into the first atomic nuclei, and afterward the leftover photons smash into all of the charged particles for hundreds of thousands of years, particularly the electrons present in the plasma of the early Universe. These photons push on the normal matter and exert pressure, creating imperfections in the density of the Universe in combination with gravitation. Only after neutral atoms form can the photons then stream freely through space uninhibited. That leftover radiation still exists today as the cosmic microwave background (CMB).
The neutrinos and antineutrinos, on the other hand, never had those interactions. They didn’t smash into charged particles. They simply streamed freely through the Universe at nearly the speed of light, and then slowed down as the Universe expanded. Owing to their tiny but non-zero masses, they should still exist today, eventually falling into galaxies and clusters of galaxies at late times.

This cosmic neutrino background (CNB) has been theorized to exist for practically as long as the Big Bang has been around, but has never been directly detected. Because neutrinos have such a tiny cross-section with other particles, we generally need them to be at very high energies in order to see them. The energy imparted to each neutrino and antineutrino remaining from the Big Bang corresponds to only 168 micro-electron-volts (μeV) today, while the neutrinos we can measure have many billions of times as much energy: in the mega-electron-volt (MeV) range or higher. No proposed experiments are theoretically capable of seeing them unless some novel, exotic physics is at play.
But there are two ways that they should affect other phenomena within the Universe that are observable, enabling us to see them indirectly: from their effects on the CMB and on the large-scale structure of the Universe. The seeds for both the CMB and the large-scale structure we see today were planted early on, when the neutrinos were more energetic and represented a significant fraction of the overall cosmic energy density. In fact, when neutral atoms were first formed and the light from the CMB was first emitted, neutrinos and antineutrinos represented fully 10% of the total energy in the Universe!

Because neutrinos (and antineutrinos) move close to the speed of light early on, when their kinetic energy is large compared to their rest-mass energy, they behave like radiation at very early times. Just like photons do, they’ll smooth out the seeds of large-scale structure by streaming out of those initially overdense regions.
You can imagine the young Universe as being filled with tiny clumps of matter: overdense regions where there’s just slightly more mass than average in them. If it weren’t for radiation, these clumps would just start to grow, unencumbered, under the influence of gravity. An overdense region would attract more and more mass and would continue to grow and grow in an unchecked fashion, running away and gobbling up all the matter within their reach.
But radiation has energy, too, and always moves through empty space at the speed of light. As your mass clumps grow, the radiation that’s in them preferentially streams out of them, stopping their growth and causing them to shrink again. Just like a “bouncing” effect, this phenomenon explains why there’s a particular pattern of peaks and valleys in both the CMB and in the large-scale structure of the Universe; they’re radiation-induced oscillations.

The positions and levels of these peaks and troughs tells us important information about the matter content, radiation content, dark matter density and spatial curvature of the Universe, including the dark energy density. If neutrinos weren’t present, the radiation content would be described by the photons alone; if neutrinos were present, however, the radiation content would need to be described by both photons and neutrinos combined. In other words, these neutrinos, if the cosmic neutrino background (CNB) is real, will create imprints in the CMB, and those imprints will persist all the way to the present day, where they should show up in the Universe’s large-scale structure as well.
The effects on the CMB will be subtle, but measurable. The pattern of peaks and valleys will be stretched out and moved to larger scales — albeit extremely slightly — by the presence of neutrinos. In terms of what can be observed, the peaks and valleys will have their phases shifted by a measurable amount that depends on both the number of neutrinos that exist and the temperature (or energy) of those neutrinos at early times. This phase shift, if detectable, would provide not only strong evidence of the existence of the cosmic neutrino background, but would allow us to measure its temperature, putting the Big Bang to the test in a brand new way.

Meanwhile, the downstream consequences of the cosmic neutrino background’s existence will show up by imprinting their effects on the present-day large-scale structure of the Universe. This imprint will also be subtle, but with enough precision in how we measure the various correlations between galaxies across cosmic distances, it should be theoretically measurable as well. If you put your finger down on any galaxy in the Universe, you’ll find that there are some distance scales where it’s more (or less) likely than others to have another galaxy at that particular distance, dependent on the Universe’s composition and expansion history.
Although the effect is small, there will be a shift in that distance scale and the particular shape of the correlation curve owing to the neutrinos, which stream out to slightly larger distances, ahead of the rest of the matter. These changes are dependent on how many neutrinos there are, what their energy is, and how they behave in the early Universe. The cosmic neutrino background may not be directly detectable today, but its indirect effects on two observables — the CMB and the large-scale structure of the Universe — should remain detectable, even 13.8 billion years after the hot Big Bang.

In 2015, using the novel data from the ESA’s Planck satellite, a quartet of scientists published the first detection of the imprint of the cosmic neutrino background on the relic light from the Big Bang: the CMB. The data were consistent with there being three and only three species of light neutrino, consistent with the electron, muon, and tau species we’ve directly detected through particle physics experiments. By looking at the polarization data from the Planck satellite, as reported at the January 2016 meeting of the American Astronomical Society, the team was also able to determine the energy present in the average neutrino present within the cosmic neutrino background: 169 μeV, with an uncertainty of only ±2 μeV. This was in precise agreement with what was predicted.
But what about the second effect: the imprint expected from the cosmic neutrino background on the large-scale structure of the Universe? Although it would take another four years to tease the effect out of the large-scale galaxy surveys that were covering wide-field views and galaxies out to extremely large redshifts and distances, eventually scientists working with data from the Sloan Digital Sky Survey were able to make that critical measurement. In 2019, a team led by Daniel Baumann finally got us there.

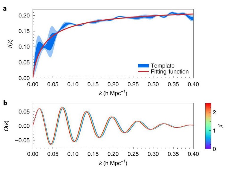
Leveraging this large-scale structure data, we’ve now measured the phase shifts in the galaxy correlation data well enough to robustly announce that the presence of cosmic neutrinos have been detected. Although the results don’t really lend themselves to a stunning visual presentation, what you need to know is that there are two parameters that they vary to see how good their results are: α and β. For the Big Bang’s predictions of the cosmic neutrino background, α and β should both equal 1, exactly. As you can see, below, that expectation is borne out extremely well by the data that we have.
Specifically, the constraint on α is very good, confirming our expectations to just a few percent. On the other hand, the constraint on β isn’t quite as good, as even folding in the data from the CMB leaves us with constraints that β can range from about 0.3 to about 3.8. However, it’s good enough that we can rule out β=0, which is what we would see were the cosmic neutrino background not to exist at all.
Even with our very first positive results, we can establish that, for the first time, the cosmic neutrino background has been detected in the large-scale structure of the Universe. A robust signal, created just 1 second after the Big Bang, has been definitively seen and measured, now by two different, independent methods.

These first detections of the cosmic neutrino background isn’t the end, but merely the beginning, of what will someday become another example of precision science. While there are plans to improve what is known from the CMB as far as measuring the presence of neutrinos goes, the large-scale structure of the Universe is truly just getting started. The Sloan Digital Sky Survey is about to be superseded by newer, more powerful telescopes over the next decade — including the ESA’s Euclid, NASA’s Nancy Roman Telescope, and the NSF’s Vera Rubin observatory — revealing details about the Universe that remain obscure to us today.
At last, the fifth and final major cornerstone of the Big Bang has been confirmed. The expanding Universe, the abundances of the light elements, the leftover glow of radiation in the form of the cosmic microwave background, the cosmic web and the large-scale structure of the Universe, and the relic background of cosmic neutrinos have all been detected, measured, and found consistent with the Big Bang’s predictions. Most importantly, no other alternative can reproduce these successes, while the evidence for the Big Bang only gets stronger. Almost 100 years after the Big Bang was first hypothesized, it’s scientifically better supported than ever.