This story appears in Starts with a Bang, our special column on astrophysics.
The notion of the Big Bang goes back nearly 100 years, when the first evidence for the expanding Universe appeared. If the Universe is expanding and cooling today, that implies a past that was smaller, denser, and hotter. In our imaginations, we can extrapolate back to arbitrarily small sizes, high densities, and hot temperatures: all the way to a singularity, where all of the Universe’s matter and energy was condensed in a single point. For many decades, these two notions of the Big Bang — of the hot dense state that describes the early Universe and the initial singularity — were inseparable.
But beginning in the 1970s, scientists started identifying some puzzles surrounding the Big Bang, noting several properties of the Universe that weren’t explainable within the context of these two notions simultaneously. When cosmic inflation was first put forth and developed in the early 1980s, it separated the two definitions of the Big Bang, proposing that the early hot, dense state never achieved these singular conditions, but rather that a new, inflationary state preceded it. There really was a Universe before the hot Big Bang, and some very strong evidence from the 21st century truly proves that it’s so.

Although we’re certain that we can describe the very early Universe as being hot, dense, rapidly expanding, and full of matter-and-radiation — i.e., by the hot Big Bang — the question of whether that was truly the beginning of the Universe or not is one that can be answered with evidence. The differences between a Universe that began with a hot Big Bang and a Universe that had an inflationary phase that precedes and sets up the hot Big Bang are subtle, but tremendously important. After all, if we want to know what the very beginning of the Universe was, we need to look for evidence from the Universe itself.
In a hot Big Bang that we extrapolate all the way back to a singularity, the Universe achieves arbitrarily hot temperatures and high energies. Although the Universe will have an “average” density and temperature, there will be imperfections throughout it: overdense regions and underdense regions alike. As the Universe expands and cools, it also gravitates, meaning that overdense regions will attract more matter-and-energy into them, growing over time, while underdense regions will preferentially give up their matter-and-energy into the denser surrounding regions, creating the seeds for an eventual cosmic web of structure.

But the details that will emerge in the cosmic web are determined far earlier, as the “seeds” of the large-scale structure were imprinted in the very early Universe. Today’s stars, galaxies, clusters of galaxies, and filamentary structures on the largest scales of all can be traced back to density imperfections from when neutral atoms first formed in the Universe, as those “seeds” would grow, over hundreds of millions and even billions of years, into the rich cosmic structure we see today. Those seeds exist all throughout the Universe, and remain, even today, as temperature imperfections in the Big Bang’s leftover glow: the cosmic microwave background.
As measured by the WMAP satellite in the 2000s and its successor, the Planck satellite, in the 2010s, these temperature fluctuations are observed to appear on all scales, and they correspond to density fluctuations in the early Universe. The link is because of gravitation, and the fact that within general relativity, the presence and concentration of matter-and-energy determines the curvature of space. Light has to travel from the region of space where it originates to the observer’s “eyes,” and that means:
- the overdense regions, with more matter-and-energy than average, will appear colder-than-average, as the light must “climb out” of a larger gravitational potential well,
- the underdense regions, with less matter-and-energy than average, will appear hotter-than-average, as the light has a shallower-than-average gravitational potential well to climb out of,
- and that the average density regions will appear as an average temperature: the mean temperature of the cosmic microwave background.

But where did these imperfections come from, initially? These temperature imperfections that we observe in the Big Bang’s leftover glow come to us from an epoch that’s already 380,000 years after the start of the hot Big Bang, meaning they’ve already experienced 380,000 years of cosmic evolution. The story is quite different, depending on which explanation you turn toward.
According to the “singular” Big Bang explanation, the Universe was simply “born” with an original set of imperfections, and these imperfections grew and evolved according to the rules of gravitational collapse, of particle interactions, and of radiation interacting with matter, including the differences between normal and dark matter.
According to the inflationary origin theory, however, where the hot Big Bang only arises in the aftermath of a period of cosmic inflation, these imperfections are seeded by quantum fluctuations — that is, fluctuations that arise due to the inherent energy-time uncertainty relation in quantum physics — that occur during the inflationary period: when the Universe is expanding exponentially. These quantum fluctuations, generated on the smallest scales, get stretched to larger scales by inflation, while newer, later-time fluctuations get stretched atop them, creating a superposition of these fluctuations on all distance scales.

These two pictures are conceptually different, but the reason they’re interesting to astrophysicists is that each picture leads to potentially observable differences in the types of signatures we’d observe. In the “singular” Big Bang picture, the types of fluctuations that we’d expect to see would be limited by the speed of light: the distance that a signal — gravitational or otherwise — would have been allowed to propagate if it were moving at the speed of light through the expanding Universe that began with a singular event known as the Big Bang.
But in a Universe that underwent a period of inflation prior to the start of the hot Big Bang, we’d expect there to be density fluctuations on all scales, including on scales larger than the speed of light, which could have allowed a signal to travel since the start of the hot Big Bang. Because inflation essentially “doubles” the size of the Universe in all three dimensions with each tiny-fraction-of-a-second that passes, fluctuations that occurred a few hundred fractions-of-a-second ago are already stretched to a scale larger than the presently observable Universe.
Although later fluctuations superimpose themselves atop the older, earlier, larger-scale fluctuations, inflation allows us to start the Universe off with ultra-large-scale fluctuations that shouldn’t exist in the Universe if it began with a Big Bang singularity without inflation.

In other words, the big test that one can perform is to examine the Universe, in all its gory details, and look for either the presence or absence of this key feature: what cosmologists call super-horizon fluctuations. At any moment in the Universe’s history, there’s a limit to how far a signal that’s been traveling at the speed of light since the start of the hot Big Bang could’ve traveled, and that scale sets what’s known as the cosmic horizon.
- Scales that are smaller than the horizon, known as sub-horizon scales, can be influenced by physics that’s occurred since the start of the hot Big Bang.
- Scales that are equal to the horizon, known as horizon scales, are the upper limit to what could’ve been influenced by physical signals since the start of the hot Big Bang.
- And scales that are greater than the horizon, known as super-horizon scales, are beyond the limit of what could’ve been caused by physical signals generated at or since the start of the hot Big Bang.
In other words, if we can search the Universe for signals that appear on super-horizon scales, that’s a great way to discriminate between a non-inflationary Universe that began with a singular hot Big Bang (which shouldn’t have them at all) and an inflationary Universe that possessed an inflationary period prior to the start of the hot Big Bang (which should possess these super-horizon fluctuations).

Unfortunately, simply looking at a map of temperature fluctuations in the cosmic microwave background isn’t enough, on its own, to tell these two scenarios apart. The temperature map of the cosmic microwave background can be broken up into different components, some of which occupy large angular scales in the sky, and some of which occupy small angular scales, as well as everything in-between.
The problem is that fluctuations on the largest scales have two possible causes. They could be created from the fluctuations that arose during an inflationary period, sure. But they could also be created simply by the gravitational growth of structure in the late-time Universe, which has a much larger cosmic horizon than the early-time Universe.
For example, if all you have is a gravitational potential well for a photon to climb out of, then climbing out of that well costs the photon energy; this is known as the Sachs-Wolfe effect in physics, and occurs for the cosmic microwave background at the point at which the photons were first emitted.
However, if your photon falls into a gravitational potential well along the way, it gains energy, and then when it climbs back out again on its way to you, it loses energy. If the gravitational imperfection either grows or shrinks over time, which it does in multiple ways in a gravitating Universe filled with dark energy, then various regions of space can appear hotter or colder than average based on the growth (or shrinkage) of density imperfections within it. This is known as the integrated Sachs-Wolfe effect.

So when we look at the temperature imperfections in the cosmic microwave background and we see them on these large cosmic scales, there isn’t enough information there, on its own, to know whether:
- they were generated by the Sachs-Wolfe effect and are due to inflation,
- they were generated by the integrated Sachs-Wolfe effect and are due to the growth/shrinkage of foreground structures,
- or they’re due to some combination of the two.
Fortunately, however, looking at the temperature of the cosmic microwave background isn’t the only way we get information about the Universe; we can also look at the polarization data of the light from that background.
As light travels through the Universe, it interacts with the matter within it, and with electrons in particular. (Remember, light is an electromagnetic wave!) If the light is polarized in a radially-symmetric fashion, that’s an example of an E-mode (electric) polarization; if the light is polarized in either a clockwise or counterclockwise fashion, that’s an example of a B-mode (magnetic) polarization. Detecting polarization, on its own, isn’t enough to show the existence of super-horizon fluctuations, however.

What you need to do is perform a correlation analysis: between the polarized light and the temperature fluctuations in the cosmic microwave background and correlate them on the same angular scales as one another. This is where things get really interesting, because this is where observationally looking at our Universe allows us to tell the “singular Big Bang without inflation” and the “inflationary state that gives rise to the hot Big Bang” scenarios apart!
- In both cases, we expect to see sub-horizon correlations, both positive and negative ones, between the E-mode polarization in the cosmic microwave background and the temperature fluctuations within the cosmic microwave background.
- In both cases, we expect that on the scale of the cosmic horizon, corresponding to angular scales of about 1 degree (and a multipole moment of about l = 200 to 220), these correlations will be zero.
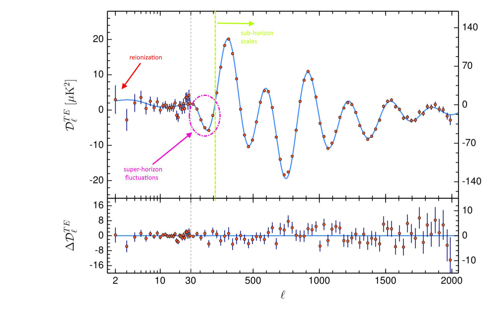
- However, on super-horizon scales, the “singular Big Bang” scenario will only possess one large, positive “blip” of a correlation between the E-mode polarization and the temperature fluctuations in the cosmic microwave background, corresponding to when stars form in large numbers and reionize the intergalactic medium. The “inflationary Big Bang” scenario, on the other hand, includes this, but also includes a series of negative correlations between the E-mode polarization and the temperature fluctuations on super-horizon scales, or scales between about 1 and 5 degrees (or multipole moments from l = 30 to l = 200).

What you see, above, is the very first graph, published by the WMAP team in 2003, a full 20 years ago, showing what cosmologists call the TE cross-correlation spectrum: the correlations, on all angular scales, that we see between the E-mode polarization and the temperature fluctuations in the cosmic microwave background. In green, I’ve added the scale of the cosmic horizon, along with arrows that indicate both sub-horizon and super-horizon scales. As you can see, on sub-horizon scales, the positive and negative correlations are both there, but on super-horizon scales, there’s clearly that big “dip” that appears in the data, agreeing with the inflationary (solid line) prediction, and definitively not agreeing with the non-inflationary, singular Big Bang (dotted line) prediction.
Of course, that was 20 years ago, and the WMAP satellite was superseded by the Planck satellite, which was superior in many ways: it viewed the Universe in a greater number of wavelength bands, it went down to smaller angular scales, it possessed a greater temperature sensitivity, it included a dedicated polarimetry instrument, and it sampled the entire sky more times, further reducing the errors and uncertainties. When we look at the final (2018-era) Planck TE cross-correlation data, below, the results are breathtaking.

As you can clearly see, there can be no doubt that there truly are super-horizon fluctuations within the Universe, as the significance of this signal is overwhelming. The fact that we see super-horizon fluctuations, and that we see them not merely from reionization but as they are predicted to exist from inflation, is a slam dunk: the non-inflationary, singular Big Bang model does not match up with the Universe we observe. Instead, we learn that we can only extrapolate the Universe back to a certain cutoff point in the context of the hot Big Bang, and that prior to that, an inflationary state must have preceded the hot Big Bang.
We’d love to say more about the Universe than that, but unfortunately, these are the observable limits that we’re stuck with: fluctuations and imprints on larger scales leave no effect on the Universe that we can see. There are other tests of inflation that we can look for as well: a nearly scale-invariant spectrum of purely adiabatic fluctuations, a cutoff in the maximum temperature of the hot Big Bang, a slight departure from perfect flatness to the cosmological curvature, and a primordial gravitational wave spectrum among them. However, the super-horizon fluctuation test is an easy one to perform and one that’s completely robust.
All on its own, it’s enough to tell us that the Universe didn’t start with the hot Big Bang, but rather that an inflationary state preceded it and set it up. Although it’s generally not talked about in such terms, this discovery, all by itself, is easily a Nobel-worthy achievement.
This article was first published in March of 2023. It was updated in September of 2025.