Pornography is a male-dominated industry that targets a prominently male audience. Scenes frequently focus on men’s pleasure and narrowly depict women as willing objects of male lust and desire.
That makes a new finding somewhat ironic. Nicolas Sommet, a senior researcher at the LIVES Centre of the University of Lausanne, and Jacques Berent, a researcher and lecturer in social psychology at the University of Geneva, conducted a large, three-year study, the results of which were published in February in the journal Psychological Medicine. They found that watching pornography is associated with decreased sexual functioning in men and increased sexual functioning in women.
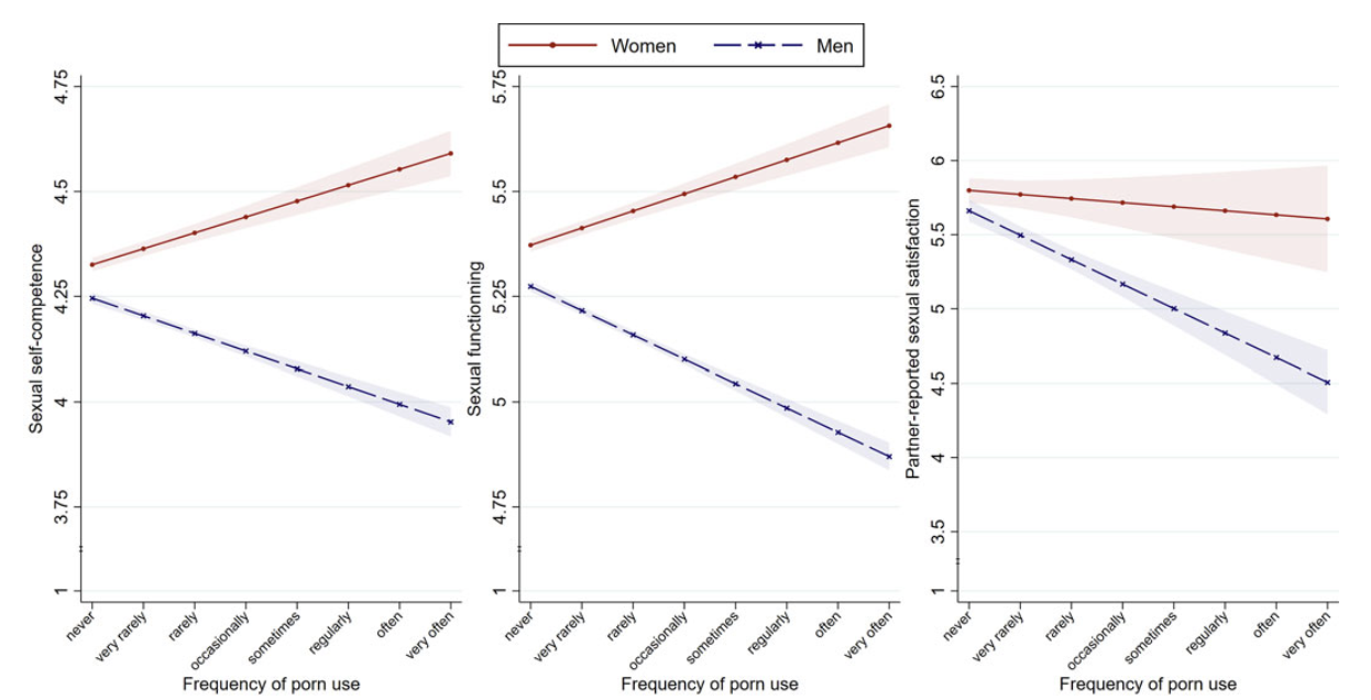
In June 2015, Somet and Berent anonymously surveyed just over 100,000 individuals predominantly from French-speaking countries with an average age of 21. Participants answered questions about their relationships, their sexual functioning and satisfaction, as well as how frequently they viewed pornography. Subjects were also asked to take the survey again in 2016 and in 2017. About a fifth of the original survey-takers completed these follow-ups.
Reviewing the data, the researchers found that the more men reported watching pornography (on a vague, eight-point scale from “never” to “very often”), the lower they rated their sexual competence and their sexual functioning, as determined by factors like desire, arousal, and ability to reach orgasm. Moreover, as men’s porn use increased, their female partners also reported decreased sexual satisfaction.

The situation was markedly reversed for women. Women who watched more pornography reported greater sexual competence and functioning compared to women who watched less.
There are numerous possible explanations for these contrasting effects. For starters, men and women may be watching different pornography. Prior research suggested that men view more hardcore and paraphilic (fetish-related) porn than women do, which tends to feature professional actors performing unrealistic scenes. This can lead to men develop impractical expectations both of themselves and with real-world partnered sex, thus diminishing their sexual satisfaction.
Men also tend to view a lot more pornography than women do. “Very often” porn use for a man might mean viewing sexual content every day, while for a woman, it might mean watching it one to two times per week. Daily porn consumption could certainly be a distraction and interfere with partnered sex.
Lastly, while society tends to tacitly encourage teen boys and young men to be promiscuous and explore their sexuality, teen girls and young women are often expected to be more chaste and deferential to men when it comes to sex. For young women, pornography could help to break these cultural chains, raising their self-confidence and teaching them how to prioritize and achieve their own sexual pleasure.
By the time they reach adulthood, about 84.4% of American males and 57% of females have viewed pornography.
Despite the clear and diverging associations that the researchers discovered in their survey, they noted that the overall effects are small. “Accordingly, men who face sexual problems and choose to terminate porn use may experience only marginal improvements in their sexual lives; similarly, women who face sexual problems might be well advised not to consider porn use to be a sexual panacea,” Sommet and Berent wrote.
The effects or pornography are heavily researched and debated within the scientific community, leaving lots of room for nuance. It’s overly simplistic to say that it’s bad for men or good for women. Like almost everything, however, porn is probably best consumed in moderation, if at all.