Over the past 30 years, one of the biggest revolutions in astronomy has been the discovery of enormous numbers of planets beyond our own solar system. We assumed, based on what we observed in our own backyard, that planets were common around stars beyond our own, but we didn’t know anything about them. Were all solar systems like our own, with inner, rocky planets and outer, giant ones? Did stars of different masses house different types of planets? Were there planets out there with masses smaller than Mercury, larger than Jupiter, or in between the rocky and gas planets we have here at home?
Since that time, our understanding of what’s out there has morphed from speculative and theoretical into one with enormous amounts of observational evidence pointing toward answers. Of the nearly 5,000 planets that have been detected and confirmed, however, almost all of them are relatively close by: just a few hundred or thousand light-years away. While it’s always the case that the easiest planets to find are the ones we find most abundantly at first, we’ve seen some rarities as well. In a new study just announced in October, 2021, a remarkable claim has been made: the detection of the first planet in a galaxy other than our own: M51-ULS-1b. It’s a tantalizing possibility, but far from a compelling one. Here’s why everyone ought to be skeptical.

When it comes to detecting planets, we have a number of possible approaches that we can take.
- We can attempt to image them directly, which provides the most unambiguous means of finding a planet. However, their low brightness compared to their parent stars, combined with their very small angular separation from them, makes this a challenge for all but a few select system.
- We can measure the gravitational tugs they exert on their parent stars, inferring their presence from the “wobble” of the star being observed. In order to extract a robust signal, however, we need long observing times relative to the candidate planet’s orbital period, as well as significant planetary masses.
- We can measure gravitational microlensing events, which occur when an intervening mass passes between a light source and our eyes, causing a brief gravitational magnification of the light. The alignment must be perfect for this, and it generally requires large distances for this method to be effective.
- Conversely, we can measure planetary transit events, which occurs when a planet passes in front of its parent star, blocking a fraction of its light periodically. It requires multiple, periodic transits to register a detection, and is best for finding large, close-orbiting planets.
- We can tease out timing variations in a system’s orbit, particularly useful for finding additional planets around systems where at least one is known, or in finding planetary systems orbiting pulsars, where the pulse timing accuracy can be known extraordinarily well.

In the recent past, all of these methods have been fruitful, but by far the transit method has yielded the greatest number of candidate planets. In general, planets are most easily spotted when they transit in front of their parent star, but that is restrictive: it requires that the planet be aligned with our line of sight to the parent star. If this is the case, transits can reveal the planet’s radius and orbital period, while a successful follow-up with the stellar wobble method will then reveal the planet’s mass as well.
Still, the other methods have also demonstrated their planet-finding potential. The first planets around a system other than our sun were detected by pulsar timing variations in the system PSR B1257+12, which revealed a total of three planets, including their masses and orbital inclinations. Gravitational microlensing, by examining distant luminous sources like quasars, have revealed extragalactic planets along the line-of-sight, including planets that have no parent stars of their own. And direct imaging has revealed young, massive planets at great orbital distances from their parent stars, including in solar systems that are still in the process of forming.

In all of these cases, however, an overwhelming amount of evidence is required before we can declare that an object that looks like it kind of, possibly, maybe, could potentially be a planet is actually a full-fledged planet. NASA’s Kepler mission, our most successful planet-finding mission of all-time, had about twice as many planet candidates compared to what wound up being their final tally of confirmed planets. Prior to Kepler, the overwhelming majority of candidates were rejected, with most turning out to be binary stars or failing to reproduce an expected transit or stellar wobble. In the hunt for planets, confirmation is a key that cannot be ignored.
Which is why it was so puzzling to see even modestly strong assertions thrown about when it came to the latest candidate planet: M51-ULS-1b. Scientists using the Chandra X-ray telescope were observing the nearby galaxy Messier 51 (M51), also known as the Whirlpool galaxy, which is famed for
- its grand spiral structure
- its face-on orientation
- its gravitational interaction with a neighboring galaxy
- copious signs of new star formation, particularly along its spiral arms
While X-ray photons are generally rare, Chandra has excellent angular resolution, meaning that luminous X-ray sources that are close by can be abundant probes of the astrophysical sources within them.

Unlike the stars in our own galaxy, whose distances are normally measured to be a few hundred or thousand light-years away from us, the stars in the galaxy M51 are some 28 million light-years distant. Although it might look like the galaxy is emitting X-rays all over the place, the Chandra data instead reveals a series of point sources, many of which correspond to X-ray binaries.
An X-ray binary is a system where a collapsed stellar remnant — like a neutron star or a black hole — is orbited by a large, massive companion star. Because the stellar remnant is so much denser than a typical diffuse star, it can slowly and gradually accrue mass by siphoning off of its close companion. As the mass gets transferred, it heats up, ionizes, and forms an accretion disk (as well as accretion flows) that get accelerated. These accelerating charged particles then emit energetic light, usually in the form of X-rays. These X-ray binaries are responsible for the majority of the point-source emissions seen in the galaxy M51, and are where the story of M51-ULS-1b begins.

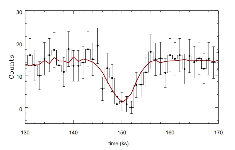
In one particular region of this galaxy, however, a very strange occurrence was observed. The X-rays coming from one continuous source — a source that was a bright emitter of X-rays — suddenly, for about three hours, went completely quiet. When you have a light-curve that looks like this, where it’s constant for a period of time and then there’s a major flux dip, followed by a re-brightening back to the original value, this is completely consistent with the signal you’d see from a planetary transit. Unlike for standard stars, which are much larger than the planets that transit them, the emissions from an X-ray source are so collimated that a transiting planet can block up to 100% of the emitted light.
This region of the galaxy has also been imaged by Hubble, where it’s plain to see that the X-ray emissions correlate with a young star cluster. If the star in the binary system is a bright B-class star, and it’s orbiting a massive neutron star or black hole, this could explain the X-ray source itself: M51-ULS-1. It should be accreting matter very quickly, and emitting X-rays continuously. As it stands, this object is between 100,000 and 1,000,000 times as luminous in X-rays as the sun is in all wavelengths combined, and the leading explanation for why it suddenly and temporarily went quiet is because a massive planet, perhaps the size of Saturn, slowly transited across our line-of-sight, blocking the X-rays when it did.

It makes sense that a planet would do this, and a planet around the M51-ULS-1 system would therefore get the standard name M51-ULS-1b. But there are some problems with this interpretation, or at the very least, some gaps in drawing this conclusion that aren’t going to be filled anytime soon.
For starters, when we detect a planet via the transit method, a single transit is never enough. We need at least a second (and usually a third) transit to occur, otherwise we can have no confidence that this signal will periodically repeat itself. Since the hypothetical planet that could have caused this transit would need to be large and slow-moving, we wouldn’t expect this transit, even if the alignment remained perfect, to repeat itself for many decades: about 70 years, according to the authors. Without a second transit, we have to remain suspicious that this signal is representative of a planet at all.
You might point to the original flux dip and note that it makes a clean, symmetric signal; circumstantial evidence that maybe this is a planet, after all. But if you look just a little bit before-or-after the signal, you’ll find another suspicious fact: the flux isn’t constant at all, but varies dramatically, with other sub-hour intervals where negligible flux is detectable during those times as well.

Although this might seem strange to you, it’s perfectly within the realm of normal when it comes to X-ray emitting sources around neutron stars and black holes. Matter, as it gets siphoned from a companion into an accretion disk, also forms matter-rich regions known as accretion flows: where there isn’t a steady, even stream of matter getting accelerated, but rather a mix of high-density, low-density, and even zero-density components. Looking just a few hours earlier, we can clearly see that having no flux at all isn’t an atypical occurrence for a source like this.
Another thing that the authors find compelling is that the ratios of high-energy to low-energy X-ray photons remain constant: before, during, and after the flux dip. The fact that the ratio doesn’t change points against two alternative scenarios, an occultation by the companion star and the passing by of an intervening cloud of gas. However, two further possibilities cannot be so easily ruled out.
- That this is an object transiting across our line-of-sight to the star, but that it either isn’t a planet (like a brown dwarf or even a red dwarf star) or that it’s an intervening object, detached from the system producing the X-rays.
- That this flux dip occurred as a nearby object, such as within our solar system, slowly passed in between Chandra and the X-ray source. With the right relative velocity, distance, and size, such an occultation could block this one source and no others.

But perhaps the largest reason to be suspicious of the transiting planet interpretation of this data is the following: the authors found this signal because they were explicitly looking for a signal that would match their expectations for a transiting planet. X-ray binaries, in particular, are so thoroughly variable that if one of them had a natural variation that behaved similarly to the expected behavior of a transit, we’d have no way of discriminating between these two possible origins.
The authors note that this type of confounding factor is difficult to disentangle, stating the following:
“XRBs are so variable, and dips due to absorption are so ubiquitous, that transit signatures are not readily recognized.”
In fact, this very source, itself, was misidentified just five years ago by two of the authors who’ve contributed to the present paper. Observations from another X-ray observatory, XMM-Newton, shows a similar event where, although the X-ray flux drops, it does not drop to zero, which should raise at least a yellow flag. Without the ability to differentiate between a transit and intrinsic variability, and without further information from a second transit or any other follow-up method, we can only consider the transiting planet interpretation of M51-ULS-1b as a possibility, not as a compelling conclusion to draw.

There is no reason to believe that stars in galaxies beyond the Milky Way aren’t precisely as planet-rich as the stars within our home galaxy, where for every star, we estimate that there are multiple planets. However, whenever you expect something to be there, when you go searching for it, you run the risk of misidentifying anything that’s close to consistent with your expectation as the very signal you’re seeking. Across three galaxies considered — the Whirlpool (M51), the Pinwheel (M101), and the Sombrero (M104) — the team identified 238 X-ray sources, and this one system was the only transit candidate that emerged.
Certainly, M51-ULS-1 is an intriguing X-ray source, and it’s worth considering that there may be a planetary candidate orbiting this system: M51-ULS-1b may, in fact, exist. However, we have every reason to remain unconvinced by this assertion, at present. There’s an old saying that asserts when all you have is a hammer, every problem looks like a nail. Without a way to follow up and demonstrate the existence of such an object, such as from a repeated transit, the wobble of the star, or a change in the timing of the central compact object, this will have to remain in limbo as an unconfirmed planetary candidate. It may yet be a planet, after all, but simple intrinsic variability is difficult to rule out as a rival, perhaps even preferred, explanation for this event.