This story appears in Starts with a Bang, our special column on astrophysics.
One of the greatest existential threats to life on Earth is a tremendous cosmic impact. Whether from an asteroid, comet, or even an interstellar interloper, an energetic-enough collision with Earth — typical of objects a few kilometers or larger in size — could easily cause a mass extinction event. In the worst-case scenario, it could even completely sterilize a living world, bringing an end to a multi-billion year chain of life. These events have, very likely, happened all across the Universe and even our Solar System for many billions of years. Most famously, 65 million years ago, a large asteroid impacted Earth, causing the 5th great mass extinction since the Cambrian explosion, and wiping out 70% of all terrestrial species, including all of the (non-avian) dinosaurs.
The conventional wisdom has long been that our Solar System is well-suited for life because we possess a cosmic shield against these objects impacting Earth: Jupiter. Our Solar System’s most massive planet experiences these collisions more than 10,000 times as frequently as Earth, which led many scientists to believe that Jupiter serves as a great protector of the inner planets, and of Earth in particular.
Only, that line of thinking is all wrong. Jupiter’s presence actually makes these collisions far more likely on Earth, and there’s more than a 70% chance that the K-Pg extinction — like all impacts our planet experiences — wouldn’t have occurred without Jupiter at all. Here’s why it’s right to blame Jupiter for the extinction of the dinosaurs.

Of all the massive bodies orbiting the Sun, none are struck with anywhere near the frequency of Jupiter. It was only in the 17th century that the telescope was first leveraged for astronomical purposes, and despite its primitive nature, the first suspected impact on Jupiter was observed as early as 1690, when Giovanni Cassini’s observations of Jupiter revealed a darkened region that persisted for 18 days. Because of Jupiter’s large size (125 times the surface area of Earth) and intense gravitational pull (about 318 times as strong as Earth’s), it makes absolute sense that Jupiter would be impacted far more frequently than Earth.
This expectation was raucously confirmed over the past ~45 years, beginning with Voyager 1’s first flyby of Jupiter in 1979. A brief atmospheric “streak” appeared in one of the frames of Voyager 1’s camera, representing a capture of the very first bolide seen in the process of striking Jupiter. Then, 15 years later, Comet Shoemaker-Levy 9 revolutionized our understanding of collisions in the Solar System, when a 2-5 kilometer wide object approached Jupiter, was torn into at least 21 pieces by Jupiter’s tidal forces, and then struck the planet, leaving scars that persisted for months. In the subsequent time since, no fewer than 11 additional Jovian impacts have been recorded.

Based on comets alone, one can conclude that Jupiter might experience a significant, Shoemaker-Levy scale impact once every 500-1000 years, while Earth will only experience one, at most, every several million years. But it wasn’t a comet that wiped out the dinosaurs; it was certainly an asteroid, with the key evidence coming from the thin layer of iridium-rich material found all across the globe dating back to that event. From the combined observations of:
- the energy of the impactor,
- the size of the crater (Chicxulub) created by the impact,
- and the abundances of the elements that were deposited by the impact,
it’s unambiguous that a rock-rich object, like an asteroid, and not an ice-rich object, like a comet, was the culprit.
So what, then, about:
- asteroids (found interior to Jupiter),
- centaurs (found exterior to Jupiter but interior to Neptune),
- trojans (orbiting around the L4 and L5 Lagrange points of Jupiter),
and other objects within the Solar System? Does Jupiter truly offer a protective effect to Earth, as has been widely assumed, or does it counterintuitively make impacts more likely?

One might think that the best way to determine the answer is to simply observe the objects that presently exist in the Solar System. After all, in the absence of any other massive bodies, it makes sense to intuit that the small, low-mass bodies throughout the Solar System would simply continue on their quasi-random elliptical trajectories until their gravitational interactions with other bodies perturbed their orbits, enabling them to become potential hazards to Earth.
And there are certainly numerous populations of objects that Jupiter does keep away from Earth very effectively. Every object that strikes Jupiter, by definition, is one object that can no longer pose a hazard to Earth. Every trojan body, orbiting either ahead of or behind Jupiter, is safely kept away from Earth by the presence of Jupiter. And a rich class of asteroids, the Hilda group (which numbers over 5,000), is shepherded by Jupiter into a 3:2 resonance with the giant planet, where they’re kept away from Earth at a stable distance of about ~600 million km from the Sun: four times the Earth-Sun distance.
With all of this in mind, it’s very clear that Jupiter does indeed offer at least some set of protective effects to Earth.

But are those protective effects great enough to offset the destructive effects that Jupiter’s very existence leads to on our planet?
For centuries, it’s been the conventional wisdom that Jupiter’s dominant effect is to safely shepherd asteroids, keeping Earth relatively safe and protected. Many have even presumed that Jupiter-like worlds are required to enable the stability of biological activity on Earth-like worlds, conjecturing that a species as complex, differentiated, and intelligent as human beings would never be able to evolve on worlds that were struck more frequently by extinction-level events. “Without Jupiter’s protection,” they wondered, “would it have even been possible for us to exist?”
But that’s not necessarily the right question. After all, any object that exerts a gravitational force will have the capability of perturbing an otherwise stable, harmless orbit — planets, moons, asteroids, and smaller masses alike — and redirecting its trajectory from one that doesn’t cross Earth’s orbit into one that does. The question isn’t whether intelligent life is possible without a Jupiter-like world, but whether Jupiter is actually protective or destructive to the other worlds within its system: whether it’s our friend or our foe?

The way to consider this — at least, from a scientific standpoint — is to model a wide variety of objects at locations all throughout the Solar System, and to see how they evolve as you vary parameters such as the presence or absence of a massive planet, and how that planet’s properties such as:
- its mass,
- its orbital eccentricity,
- and its position in the Solar System,
all affect the number of impacts one would expect on a planet located where Earth is.
This was first considered by the team of Jonti Horner and Barrie Jones in 2008, where they simulated the number of impacts over time that one would expect on Earth from perturbed objects within the asteroid belt. They varied the hypothetical mass of Jupiter, and included the case where it was removed entirely.
They followed this up with a 2009 study that considered how it affected the Centaur population of objects, and then with another study in 2011 that considered variations in not just the mass of a Jupiter-like planet, but also in the eccentricity of the orbit and the inclination of orbit of such a planet. What we learned from this study was the start of something remarkable, that turned our default assumptions on its head.

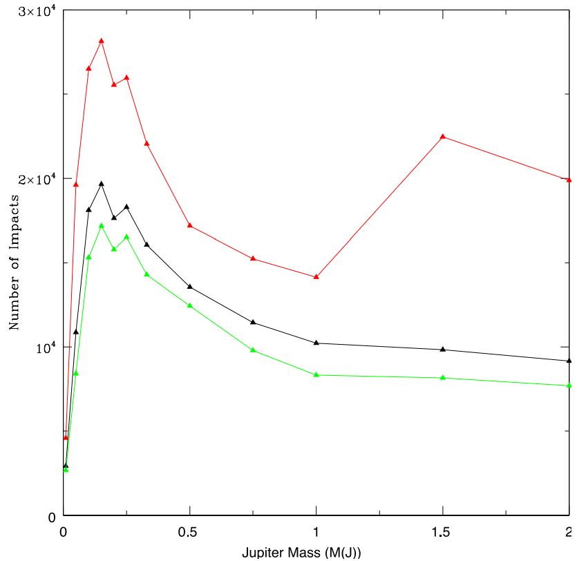
Above, you can see what I would consider the most important result: the relative flux of asteroids that would hit Earth as a result of varying Jupiter’s mass (from 0, left, to 2 Jupiter masses on the right) for eccentricities of 0.01 (low, green), 0.0488 (actual, black), and 0.10 (high, red).
As you can see, the “actual Jupiter” of a “1 Jupiter-mass planet” on the green curve corresponds to a significantly larger value than the “no Jupiter” (or mass = 0) scenario by a large margin. When we calculate the collision rate on a planet located where Earth is, the studies found that the rate is 350% larger with Jupiter vs. a scenario without any such planet in its location at all. Jupiter, based on these calculations, is likely responsible for about 70% of the total impacts that Earth experiences; if it were absent entirely, the collision rate would be only about ~30% of the actual observed rate.
But, interestingly, this is neither the best nor the worst-case scenario. If you focus on varying the mass of the hypothetical Jupiter-like world, you find that the greatest enhancement of collisions comes from a planet with 20-30% of Jupiter’s mass, and that the enhancement is less severe for both larger and smaller masses. If you instead focus on varying the eccentricity, you find that lower (close to 0) eccentricities are best, but that if you increase the eccentricity severely — and that means only about double Jupiter’s actual eccentricity — then higher-mass Jupiter-analogues are as catastrophic as lower-mass ones.

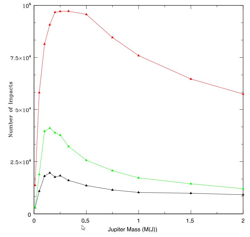
If instead of varying the eccentricity of a Jupiter-like planet, you were to vary its inclination instead, you’d find that being in the plane of the Solar System is how you get the lowest collision rate from the asteroid belt. However, and this is where things get interesting, as you raise the inclination from the observed (1.3°, in black) to a hypothetical 5° (green) or a whopping 25° (red), you get much, much larger impact rates. In this case, the rates are so high for a severely inclined orbit that something that wouldn’t occur for varying masses or eccentricities alone: the collision rate with early Earth would be so large that by the time billions of years had passed, the entire asteroid belt would’ve been cleaned out!
In other words, there are scenarios where, over the long-term, a giant planet could have a net protective effect, but there are also a large number of scenarios where a giant planet can actually lead to a more dangerous set of conditions than if there were no giant planet present at all.
When we take all of these factors into account — mass, eccentricity, orbital inclination, etc. — for our actual Solar System, what is it that we learn about the event rate of catastrophic impacts on Earth?

It means that more than 70% of all Earth-crossing asteroids, and all Earth-striking asteroids, would not occur without Jupiter. (Yes, some impacts that did occur on Earth wouldn’t have, while other impacts that didn’t occur would have, but the net effect of Jupiter is for an overall substantial increase, by more than a factor of three, in total Earth-impacts.) It means that Saturn, despite being double the distance from the Sun that Jupiter is, is much more important than Jupiter for shepherding centaur-like and comet-like objects from the outer Solar System into the inner Solar System, and may even play a major role in perturbing the asteroid belt. And it means that a massive gas giant with a high orbital inclination is truly the only scenario with a net protective effect, and that pretty much any other gas giant planet would have increased the impact rate on Earth, rather than protecting us overall.
In other words, Jupiter, despite the longstanding conventional wisdom, does not serve as a protective shield for planet Earth. Jupiter-like planets, in general, do not protect the worlds in the inner reaches of a stellar system, and in fact do the opposite. Having a Jupiter-like planet, of its mass at its distance from the Sun, actually poses a significant hazard to Earth, increasing the collision rate from the asteroid belt by more than three times over what it would be without such a planet. And all of the gas giant planets in our Solar System help bring in material from the Solar System’s outskirts: potentially bringing water and organic molecules onto a young Earth’s surface early on, but potentially increasing extinction-level events at late times.

Based on these studies alone, it’s reasonable to conclude that about 72% of all the asteroids that have ever struck Earth — including, more likely than not, the impactor that caused Earth’s 5th great mass extinction — would not have struck Earth were it not for the influence of Jupiter. Despite Jupiter’s large size and its propensity to draw objects in toward it, it has a net destructive effect on Earth, vastly increasing the collision rate from asteroids. In addition, all of the outer planets, particularly Saturn, increase the impact rates from comets and centaurs, further endangering the Earth. The notion that Jupiter has a net protective effect on us is a myth, and one that’s been destroyed by thorough scientific investigation.
However, that doesn’t mean that having gas giants isn’t beneficial to the formation and evolution of life on an inner, terrestrial world. The combination of:
- enhancing the early bombardment of pristine, volatile-rich material, including water and organics,
- increasing the extinction-causing impact rate, opening up new ecological niches to the surviving life,
- and the potential to reduce the overall impact rate at very late times, which doesn’t occur here but could occur elsewhere,
might add up to a recipe for advanced, intelligent biological activity on a world not so different from our own. Although Jupiter is likely to blame for the impact event that wiped out the dinosaurs, our own self-interest in the rise of mammals might mean we should credit it for our existence instead.
This article was first published in January of 2023. It was updated in July of 2025.