An artistic representation of a starburst galaxy, where the entire galaxy itself behaves as a star-forming region, using data from the FIRE (Feedback in Realistic Environments) simulation that includes strong bursts of star-formation. For the first ~3 billion years of cosmic history, the star-formation rate rose and rose until reaching a peak, but has fallen off significantly in the ~10-11 billion years since. Whether starburst galaxies become red-and-dead or will form new stars later on depends on factors we have not yet fully understood, especially at early times.
Credit: Aaron M. Geller, Northwestern, CIERA + IT-RCDS
Ever since it opened its impressively sharp, high-resolution, infrared eyes, JWST has been seeing something unexpected: bright, early galaxies in far greater numbers than was expected.
Although two partial explanations existed, in JWST’s optical overperformance due to cleanliness and an underestimate of early, massive galaxies due to simulation resolution, there were still too many bright, early galaxies.
At last, a third puzzle piece has been put into place: early galaxy brightnesses are not solely determined by mass, but also by brilliant bursts of star-formation. With all three pieces, the mystery may be finally solved.
An astrophysics column on big questions and our universe.
From its very first glimpse of the distant Universe, JWST has shocked astronomers.
This almost-perfectly-aligned image composite shows the first JWST deep field’s view of the core of cluster SMACS 0723 and contrasts it with the older Hubble view. The JWST image of galaxy cluster SMACS 0723 is the first full-color, multiwavelength science image taken by the JWST. It was, for a time, the deepest image ever taken of the ultra-distant Universe, with 87 ultra-distant galaxy candidates identified within it. Most are still awaiting spectroscopic follow-up and confirmation to determine how distant they truly are.
Credit: NASA, ESA, CSA, and STScI; NASA/ESA/Hubble (STScI); composite by E. Siegel
Its unprecedentedly deep views revealed a colossal surprise: bright galaxies.
This section of one of our deepest views of the Universe, acquired with JWST, overlaps with data from the Hubble eXtreme Deep Field. Compared to Hubble, JWST reveals an enormous number of objects previously invisible to Hubble, even with only ~4% of the observing time. Most of these galaxies are small and low-mass, but are forming stars rapidly right now, enabling JWST to reveal their presence.
Credit: NASA, ESA, CSA, STScI, Christina Williams (NSF’s NOIRLab), Sandro Tacchella (Cambridge), Michael Maseda (UW-Madison); Processing: Joseph DePasquale (STScI); Animation: E. Siegel
Even at these earliest times, galaxies were too big, bright, and numerous to explain.
This portion of the newest JWST image that covered part of Hubble’s ultra-deep field reveals a number of distant galaxies, highlighted manually, that are present in the brief JWST views but not in the long-exposure Hubble views. Some of these may indeed be cosmic record-breakers.
Credit: NASA, ESA, CSA, STScI, Christina Williams (NSF’s NOIRLab), Sandro Tacchella (Cambridge), Michael Maseda (UW-Madison); Processing: Joseph DePasquale (STScI); Animation: E. Siegel
Taking us beyond the limits of any prior observatory, including all of the ground-based telescopes on Earth as well as Hubble, NASA’s JWST has shown us the most distant galaxies in the Universe ever discovered. If we assign 3D positions to the galaxies that have been sufficiently observed-and-measured, we can construct a visualized fly-through of the Universe, as the CEERS data from JWST enables us to do here. At greater distances, compact, star-forming galaxies are more common; at closer distances, more diffuse, quiescent galaxies are the norm.
Credits: Frank Summers (STScI), Greg Bacon (STScI), Joseph DePasquale (STScI), Leah Hustak (STScI), Joseph Olmsted (STScI), Alyssa Pagan (STScI); Science by: Steve Finkelstein (UT Austin), Rebecca Larson (RIT), Micaela Bagley (UT Austin)
Normally, galactic brightness traces stellar mass: the mass of the galaxy due to stars.
The Southern Pinwheel Galaxy, Messier 83, displays many features common to our Milky Way, including a multi-armed spiral structure and a central bar, as well as spurs and minor arms, plus a central bulge of stars. The pink regions showcase transitions in hydrogen atoms driven by ultraviolet light: produced by new stars. The Southern Pinwheel galaxy is one of the closest and brightest barred spiral galaxies at a distance of just 15 million light-years, and has a similar diameter (118,000 light-years) to our own Milky Way.
Credit:
CTIO/NOIRLab/DOE/NSF/AURA; Acknowledgment: M. Soraisam (University of Illinois); Image processing: Travis Rector (University of Alaska Anchorage), Mahdi Zamani & Davide de Martin
One potential culprit, the “first stars,” brighter and bluer than modern stars, have yet to be spotted.
An artist’s conception of what a region within the Universe might look like as it forms stars for the first time. As stars shine, accumulate matter, and contract, radiation will be emitted, both electromagnetic and gravitational. Inside the star, gas pressure fights against gravitation, holding the various interior layers up against gravitational collapse. Surrounding the star-forming region is darkness, as neutral atoms effectively absorb that emitted starlight, while the emitted ultraviolet starlight works to ionize that matter from the inside out.
One partial explanation comes from JWST’s optical overperformance.
This simulation of spherical aberration shows how a point source is seen by a perfectly spherical aperture if the object is overfocused (left), underfocused (right), or perfectly focused (center), along with being properly corrected for wavelength (middle row) versus being either slightly overcorrected (top row) or undercorrected (bottom row). The extreme lower-right image shows the original spherical aberration in Hubble’s original WFPC camera. Hubble’s primary mirror had problems with spherical aberration; JWST’s mirrors do not.
Credit: Mdf at English Wikipedia; NASA, ESA and the COSTAR Team
Shown during an inspection in the clean room in Greenbelt, Maryland in late 2021, NASA’s James Webb Space Telescope was photographed at the moment of completion. Only weeks later, it would successfully launch and deploy, leading to an unprecedented set of advances in astronomy. From mirrors to instruments, it was kept cleaner, from start to finish, than any observatory ever.
A second contribution arises from simulation resolution.
This image shows a series of structure-formation simulations: at low resolution, medium resolution, and superior/high resolution, for both cold dark matter and fuzzy dark matter models. If we can measure the Universe precisely and accurately enough, we can distinguish between these types of models, contingent on matching dark matter density to a realistic galaxy distribution, and whether we simulate the cosmic web to great enough precision.
Regions born with a typical, or “normal” overdensity, will grow to have rich structures in them, while underdense “void” regions will have less structure. However, early, small-scale structure is dominated by the most highly peaked regions in density (labeled “rarepeak” here), which grow the largest the fastest, and are only visible in detail to the highest resolution simulations.
Credit: J. McCaffrey et al., Open Journal of Astrophysics (submitted), 2023
These factors, combined, explain some, but not all, of JWST’s observed galaxies.
The three simulated regions highlighted earlier, using the Renaissance suite, lead to predictions for how massive galaxies should be in those three regions (orange, blue, and green lines). The 5 earliest galaxies revealed so far with JWST, with error bars shown, have about a probability of “1” of occurring within the observed regions. If they were truly rare, they’d be brighter and more massive, as shown by the ~10^-3 and ~10^-6 likelihood curves. Note that even at the start of the scale on the x-axis, at ~150 million years, clumps of stellar matter with ~100,000 solar masses already exist.
Credit: J. McCaffrey et al., Open Journal of Astrophysics (submitted), 2023
There are still too many bright galaxies seen too early on.
This region of space, viewed first iconically by Hubble and later by JWST, shows an animation that switches between the two. Both images still have fundamental limitations, as they were acquired from within our inner Solar System, where the presence of zodiacal light influences the noise floor of our instruments, and cannot easily be removed. The extra presence of point-like red objects in JWST images, also known as “little red dots,” has finally been explained, but other puzzles still remain.
Credit: NASA, ESA, CSA, STScI, Christina Williams (NSF’s NOIRLab), Sandro Tacchella (Cambridge), Michael Maseda (UW-Madison); Processing: Joseph DePasquale (STScI); Animation: E. Siegel
When major mergers of similarly-sized galaxies occur in the Universe, they form new stars out of the hydrogen and helium gas present within them. This can result in severely increased rates of star-formation, similar to what we observe inside the nearby galaxy Henize 2-10, located 30 million light years away. This galaxy will likely evolve, post-merger, into another disk galaxy if copious amounts of gas remains within it, or into an elliptical if all or nearly all of the gas is expelled by the current starburst. Starburst events like this were much more common earlier in cosmic history than they are today, and may be the primary method for forming the majority of stars within our Universe.
Starbursts are brief star-forming episodes, dramatically enhancing a galaxy’s brightness.
The image shows the central region of the Tarantula Nebula in the Large Magellanic Cloud. The young and dense star cluster R136 can be seen near the center of the image. The tidal forces exerted on the Large Magellanic Cloud by the Milky Way are triggering a wave of star-formation in there, which happens to be the largest star-forming region known in the Local Group. R136a1, at the cluster’s center, is the most massive single star known, with approximately 260 times the mass of our Sun.
Credit: NASA, ESA, CSA, STScI, Webb ERO Production Team
Alongside normal stars, giants, supergiants, and supernovae temporarily inflate a galaxy’s luminosity.
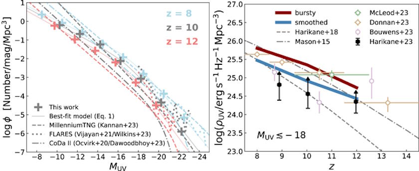
When burstiness is accounted for, rather than entirely “smoothed out” over long time intervals, brightness enhancements in a variety of galaxies can be seen at all redshifts where JWST has identified anomalously large number densities of bright galaxies. These three panels show those enhancements, relative to other simulations and photometric JWST data, at z = 8, 10, and 12, corresponding to times of 650, 480, and 380 million years after the hot Big Bang.
Both the number density of galaxies as a function of redshift (left) and the rest-frame ultraviolet luminosity of galaxies (right) can be explained by a “bursty” scenario, where a young galaxy’s brightness is temporarily enhanced by the giant stars, supergiant stars, and stellar cataclysms that accompany a starburst galaxy.
At last, simulations can now reproduce JWST’s observed abundance of bright, early galaxies.
The viewing area of the JADES survey, along with the four most distant galaxies verified within this field-of-view. The three galaxies at z = 13.20, 12.63, and 11.58 are all more distant than the previous record-holder, GN-z11, which had been identified by Hubble and has now been spectroscopically confirmed by JWST to be at a redshift of z = 10.6. No doubt these records will themselves be broken, possibly with galaxy candidates that already exist within the same field-of-view.
Credit: NASA, ESA, CSA, M. Zamani (ESA/Webb), Leah Hustak (STScI); Science credits: Brant Robertson (UC Santa Cruz), S. Tacchella (Cambridge), E. Curtis-Lake (UOH), S. Carniani (Scuola Normale Superiore), JADES Collaboration
Mostly Mute Monday tells an astronomical story in images, visuals, and no more than 200 words.